Skip to main content
MARLAN AND ROSEMARY BOURNS COLLEGE OF ENGINEERING
UCR Home
BCOE Departments & Programs
MARLAN AND ROSEMARY BOURNS COLLEGE OF ENGINEERING
Bioengineering
Chemical and Environmental Engineering
Computer Engineering
Computer Science and Engineering
Data Science
Electrical and Computer Engineering
Materials Science and Engineering
Mechanical Engineernig
Online M.S. in Engineering
Search
UC Riverside
The B2K Group
Professor V G J Rodgers
Search
Home
About the B2K Group
People
V. G. J. Rodgers
Current Researchers
Collaborators
Alumni
VGJR Anti-Matter
Research Focus
Publications
News
Videos and Links
UCR Home
BCOE Departments & Programs
MARLAN AND ROSEMARY BOURNS COLLEGE OF ENGINEERING
Bioengineering
Chemical and Environmental Engineering
Computer Engineering
Computer Science and Engineering
Data Science
Electrical and Computer Engineering
Materials Science and Engineering
Mechanical Engineernig
Online M.S. in Engineering
Breadcrumb
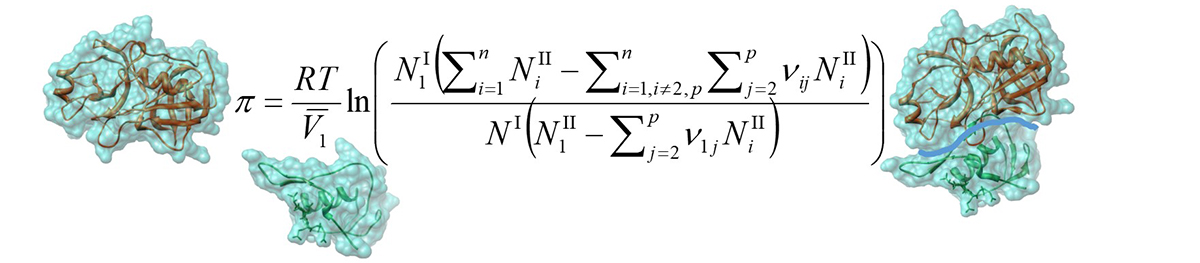
Crowded Protein
Crowded Protein
Please Click Here to Download the Image
×
Let us help you with your search
Enter your Search Criteria.
Search
Cancel